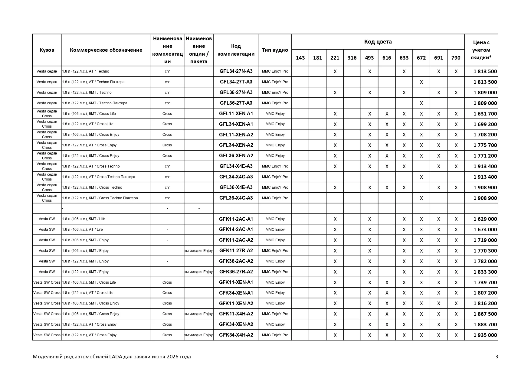
По каким ценам покупают автомобили LADA рабочие АВТОВАЗа летом 2026 года
На АВТОВАЗе объявили о начале заявочной кампании на приобретение автомобилей LADA по корпоративной льготной программе. Ниже представлены модели автомобилей и цены на них для приобретения в июне 2026 года работниками завода и его дочерних обществ. Стоит отметить, что с этого месяца в перечне моделей присутствует новинка Lada Iskra.
Напоминаем, что для работников АВТОВАЗа и дочерних обществ также действует льготная программа по приобретению автомобилей LADA и XCITE. По условиям программы работнику предоставляется специальная ставка по кредиту. Стоит отметить, что данная программа льготного кредитования не совмещается с льготной программой реализации автомобилей работникам АО «АВТОВАЗ».
По условиям программы работнику предоставляется специальная ставка по кредиту при следующих условиях:
- Первоначальный взнос составляет не менее 30% от стоимости автомобиля в договоре купли-продажи.
- Специальная кредитная ставка по кредиту ниже коммерческой кредитной ставки. Срок кредита от 12 до 84 месяцев.
- При стаже работы в компании не менее 1 (одного) года.
- При расторжении трудового договора с работодателем банк вправе изменить ставку в кредитном договоре. Размер ставки банк определяет на основании внутренних документов.
Читайте также:
